The 1-Hepten-3-ols

Chirality & Odour Perception
John C. Leffingwell, Ph.D.

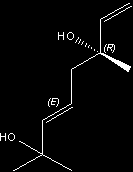
The 2,6-dimethylocta-3,7-diene-2,6-diols

You must have Java installed to view the molecular visualization on this page
Photo by permission of M. Roudintska - Art & Parfum

(3E,6R)-2,6-dimethylocta-3,7-diene-2,6-diol - citrus, sweet, powdery

Ref: YURIKO ITO, AKIO SUGIMOTO, TAKAMI KAKUDA, AND KIKUE KUBOTA, Identification of Potent Odorants in Chinese Jasmine Green Tea Scented with Flowers of Jasminum sambac, J. Agric. Food Chem. 2002, 50, 4878-4884

(3E,6S)-2,6-dimethylocta-3,7-diene-2,6-diol - herbal green

Ref: YURIKO ITO, AKIO SUGIMOTO, TAKAMI KAKUDA, AND KIKUE KUBOTA, Identification of Potent Odorants in Chinese Jasmine Green Tea Scented with Flowers of Jasminum sambac, J. Agric. Food Chem. 2002, 50, 4878-4884

Cyclic Terpenoid Odorants

Bicyclic Terpenoid Odorants

Acyclic Terpenoid Odorants

Ionones, Irones, Damascones & Structurally Related Odorants

Acyclics (Alcohols, Esters, Acids, Aldehydes)

Lactones

Sesquiterpenoid Related Odorants

Steroid Urine Type Odorants

Sandalwood Type Odorants

Musk Odorants

Miscellaneous

HOME

Copyright 2001-2002 - Leffingwell & Associates