The delta-Octathionolactones

Chirality & Odour Perception
John C. Leffingwell, Ph.D.

The 2-Methyl-4-(5,5,6-trimethyl-2-norborny)cyclohexanones

You must have Java installed to view the molecular visualization on this page
Photo by permission of M. Roudintska - Art & Parfum

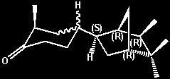
(+)-2-Methyl-4-(5,5,6-exo-trimethyl-2-exo-norbornyl)cyclohexanone - urinous

On a relative basis the urinous intesity is about 10% that of Theimers urinous ketone - cis-4-(4-tert-Butylcyclohexyl)-4-methylpentan-2-one, or about 1% that of (+)-Androstenone.

Note - the isolated material contained about 15% of the enantiomer and the degree of urinous intensity given is a value corrected for this.

= (+)-2-methyl-4-[(1S,2R,4S,6S)-5,5,6-trimethylbicyclo[2.2.1]hept-2-yl]cyclohexanone

Also referred to as the l-ketone or l-5 or l(+)-exo-5

Note - the authors indicate that the methyl group on the cyclohexanone can exist as either equitorial or axial; however the situation appears more complex as either oientation can also exist in both erythro and threo forms.

 Ref: Ernst T. Theimer, Takao Yoshida, and Erich M. Klaiber, Olfaction and Molecular Shape. Chirality as a Requisite for Odor, J. Agric. Food Chem., Vol. 25, No. 5, 1977, 1168-1177

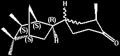
(-)-2-Methyl-4-(5,5,6-exo-trimethyl-2-exo-norborny)cyclohexanone - strongly urinous

On a relative basis the urinous intesity is about 200% that of Theimers urinous ketone - cis-4-(4-tert-Butylcyclohexyl)-4-methylpentan-2-one, or about 20% that of (+)-Androstenone

Odor Threshold = 0.28 ppb in water (Amoore)

= (-)-2-methyl-4-[(1R,2S,4R,6R)-5,5,6-trimethylbicyclo[2.2.1]hept-2-yl]cyclohexanone

Also referred to as the d-ketone or d-5 or d(-)-exo-5

Note - the authors indicate that the methyl group on the cyclohexanone can exist as either equitorial or axial; however the situation appears more complex as either oientation can also exist in both erythro and threo forms.

 Ref: Ernst T. Theimer, Takao Yoshida, and Erich M. Klaiber, Olfaction and Molecular Shape. Chirality as a Requisite for Odor, J. Agric. Food Chem., Vol. 25, No. 5, 1977, 1168-1177; Amoore J.E., Pelosi.P. and Forrester ,J.L. (1977) Specific anosmias to 5a-androst-16-en-3-one and omega-pentadecalactone: the urinous and musky primary odors. Chem. Senses Flav., 2, 401-425

(+)-2-Methyl-4-(5,5,6-exo-trimethyl-2-endo-norborny)cyclohexanone (liquid [axial methyl?] isomer - weakly urinous

On a relative basis the urinous intesity is about 4% that of Theimers urinous ketone - cis-4-(4-tert-Butylcyclohexyl)-4-methylpentan-2-one, or about 0.4% that of (+)-Androstenone.

Both a solid isomer (with the cyclohexanone methyl group presumably being equitorial) and a liquid isomer (with the cyclohexanone methyl group presumably being axial) were isolated and individually evaluated for the urinous character.

However the situation appears more complex as either oientation (axial or equitorial) can also exist in both erythro and threo forms.

Also referred to as l-4(liquid) or l(+)-endo-4 (liquid)

= (+)-2-methyl-4-[(1S,2S,4S,6S)-5,5,6-trimethylbicyclo[2.2.1]hept-2-yl]cyclohexanone (liquid isomer)

 Ref: Ernst T. Theimer, Takao Yoshida, and Erich M. Klaiber, Olfaction and Molecular Shape. Chirality as a Requisite for Odor, J. Agric. Food Chem., Vol. 25, No. 5, 1977, 1168-1177

(-)-2-Methyl-4-(5,5,6-exo-trimethyl-2-endo-norborny)cyclohexanone (liquid [axial methyl?] isomer) - moderately strong urinous

On a relative basis the urinous intesity is about 40% that of Theimers urinous ketone - cis-4-(4-tert-Butylcyclohexyl)-4-methylpentan-2-one, or about 4% that of (+)-Androstenone.

Both a solid isomer (with the cyclohexanone methyl group presumably being equitorial) and a liquid isomer (with the cyclohexanone methyl group presumably being axial) were isolated and individually evaluated for the urinous character.

However the situation appears more complex as either oientation (axial or equitorial) can also exist in both erythro and threo forms.

Also referred to as d-4(liquid) or d(-)-endo-4 (liquid)

= (-)-2-methyl-4-[(1R,2R,4R,6R)-5,5,6-trimethylbicyclo[2.2.1]hept-2-yl]cyclohexanone (liquid isomer)

 Ref: Ernst T. Theimer, Takao Yoshida, and Erich M. Klaiber, Olfaction and Molecular Shape. Chirality as a Requisite for Odor, J. Agric. Food Chem., Vol. 25, No. 5, 1977, 1168-1177

(+)-2-Methyl-4-(5,5,6-exo-trimethyl-2-endo-norborny)cyclohexanone (solid [equitorial? methyl] isomer - weakly urinous

On a relative basis the urinous intesity is about 2% that of Theimers urinous ketone - cis-4-(4-tert-Butylcyclohexyl)-4-methylpentan-2-one, or about 0.2% that of (+)-Androstenone.

Both a solid isomer (with the cyclohexanone methyl group presumably being equitorial) and a liquid isomer (with the cyclohexanone methyl group presumably being axial) were isolated and individually evaluated for the urinous character.

However the situation appears more complex as either oientation (axial or equitorial) can also exist in both erythro and threo forms.

Also referred to as l-4(liquid) or l(+)-endo-4 (liquid)

= (+)-2-methyl-4-[(1S,2S,4S,6S)-5,5,6-trimethylbicyclo[2.2.1]hept-2-yl]cyclohexanone (liquid isomer)

 Ref: Ernst T. Theimer, Takao Yoshida, and Erich M. Klaiber, Olfaction and Molecular Shape. Chirality as a Requisite for Odor, J. Agric. Food Chem., Vol. 25, No. 5, 1977, 1168-1177

(-)-2-Methyl-4-(5,5,6-exo-trimethyl-2-endo-norborny)cyclohexanone (solid [equitorial? methyl] isomer) - urinous

On a relative basis the urinous intesity is about 10% that of Theimers urinous ketone - cis-4-(4-tert-Butylcyclohexyl)-4-methylpentan-2-one, or about 1% that of (+)-Androstenone.

Both a solid isomer (with the cyclohexanone methyl group presumably being equitorial) and a liquid isomer (with the cyclohexanone methyl group presumably being axial) were isolated and individually evaluated for the urinous character.

However the situation appears more complex as either oientation (axial or equitorial) can also exist in both erythro and threo forms.

Also referred to as d-4(liquid) or d(-)-endo-4 (liquid)

= (-)-2-methyl-4-[(1R,2R,4R,6R)-5,5,6-trimethylbicyclo[2.2.1]hept-2-yl]cyclohexanone (liquid isomer)

 Ref: Ernst T. Theimer, Takao Yoshida, and Erich M. Klaiber, Olfaction and Molecular Shape. Chirality as a Requisite for Odor, J. Agric. Food Chem., Vol. 25, No. 5, 1977, 1168-1177

Cyclic Terpenoid Odorants

Bicyclic Terpenoid Odorants

Acyclic Terpenoid Odorants

Ionones, Irones, Damascones & Structurally Related Odorants

Acyclics (Alcohols, Esters, Acids, Aldehydes)

Lactones

Sesquiterpenoid Related Odorants

Steroid Urine Type Odorants

Sandalwood Type Odorants

Musk Odorants

Miscellaneous

HOME

Copyright 2001 - Leffingwell & Associates