|
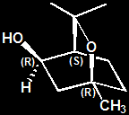
-3-Hydroxy-1,8-cineole.gif)
(1S,3S,4R)-(+)-3-Hydroxy-1,8-cineole
- spicy (weak)
Also
called
(1S,4R,5S)-5-Hydroxy-1,8-cineole
=
(1S,3S,4R)-1,5,5-trimethyl-6-oxa-bicyclo[2.2.2]octan-3-ol
=
(1S,4R,5S)-1,3,3-trimethyl-2-oxabicyclo[2.2.2]octan-5-ol
Ref:
Loandos, María del H., Margarita B.
Villecco, Eleuterio Burgueño-Tapia,
Pedro Joseph-Nathan and César A. N.
Catalán, Preparation and Absolute
Configuration of (1R,4R)-(+)-3-Oxo-,
(1S,4S)-(-)-3-Oxo- and (1R,3S,4R)-
(+)-3-Acetyloxy-5-oxo-1,8-cineole, Natural
product communications 4, no. 11 (2009):
1537-1545.
|
|
-3-Hydroxy-1,8-cineole.gif)
(1R,3R,4S)-(-)-3-Hydroxy-1,8-cineole
- camphoraceous, sweet
Also called
(1R,4S,5R)-5-Hydroxy-1,8-cineole
=
(1R,3R,4S)-1,5,5-trimethyl-6-oxa-bicyclo[2.2.2]octan-3-ol
=
(1R,4S,5R)-1,3,3-trimethyl-2-oxabicyclo[2.2.2]octan-5-ol
Ref: Loandos,
María del H., Margarita B. Villecco,
Eleuterio Burgueño-Tapia, Pedro
Joseph-Nathan and César A. N.
Catalán, Preparation and Absolute
Configuration of (1R,4R)-(+)-3-Oxo-,
(1S,4S)-(-)-3-Oxo- and (1R,3S,4R)-
(+)-3-Acetyloxy-5-oxo-1,8-cineole, Natural
product communications 4, no. 11 (2009):
1537-1545.
|
|