|
-3-Oxo-cineole.gif)
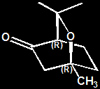
(1S,4S)-(-)-3-Oxo-cineole
- spicy
=
(1S,4S)-1,5,5-trimethyl-6-oxa-bicyclo[2.2.2]octan-3-one
=
(1S,4S)-1,3,3-trimethyl-2-oxabicyclo[2.2.2]octan-5-one
Ref:
Loandos, María del H., Margarita B.
Villecco, Eleuterio Burgueño-Tapia,
Pedro Joseph-Nathan and César A. N.
Catalán, Preparation and Absolute
Configuration of (1R,4R)-(+)-3-Oxo-,
(1S,4S)-(-)-3-Oxo- and (1R,3S,4R)-
(+)-3-Acetyloxy-5-oxo-1,8-cineole, Natural
product communications 4, no. 11 (2009):
1537-1545.
|
|
-3-Oxo-cineole.gif)
(1R,4R)-(+)-3-Oxo-cineole
- sweet, cineole-like (weak)
=
(1R,4R)-1,5,5-trimethyl-6-oxa-bicyclo[2.2.2]octan-3-one
=
(1R,4R)-1,3,3-trimethyl-2-oxabicyclo[2.2.2]octan-5-one
Ref: Loandos,
María del H., Margarita B. Villecco,
Eleuterio Burgueño-Tapia, Pedro
Joseph-Nathan and César A. N.
Catalán, Preparation and Absolute
Configuration of (1R,4R)-(+)-3-Oxo-,
(1S,4S)-(-)-3-Oxo- and (1R,3S,4R)-
(+)-3-Acetyloxy-5-oxo-1,8-cineole, Natural
product communications 4, no. 11 (2009):
1537-1545.
|
|