Chirality & Odour Perception
John C. Leffingwell, Ph.D.

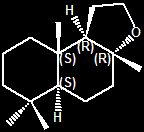
Ambrox®

You must have Java installed to view the molecular visualization on this page
Photo by permission of M. Roudintska - Art & Parfum

(-)-Ambrox® - moist, soft, creamy, persistent, warm, animalic, amber odor with a velvety effect

Threshold = 0.3 ppb

= (3aR,5aS,9aS,9bR)-dodecahydro-3a,6,6,9a-tetramethylnaphtho[2,1-b]furan

Ref: Braja D. Mookherjee and Richard A. Wilson, Perfumer & Flavorist, Vo. 15, No. 1, 27-49 (1990)

AMBROX® is trademark registered in the name of FIRMENICH SA

(+)-Ambrox® - accentuated woody note and lacks the strong "animalic warmth" of the (-)-isomer

Threshold = 2.4 ppb

= (3aS,5aR,9aR,9bS)-dodecahydro-3a,6,6,9a-tetramethylnaphtho[2,1-b]furan

Ref: Braja D. Mookherjee and Richard A. Wilson, Perfumer & Flavorist, Vo. 15, No. 1, 27-49 (1990)

AMBROX® is trademark registered in the name of FIRMENICH SA

Cyclic Terpenoid Odorants

Bicyclic Terpenoid Odorants

Acyclic Terpenoid Odorants

Ionones, Irones, Damascones & Structurally Related Odorants

Acyclics (Alcohols, Esters, Acids, Aldehydes)

Lactones & Furanones

Sesquiterpenoid Related Odorants

Steroid Urine Type Odorants

Sandalwood Type Odorants

Musk Odorants

Miscellaneous

HOME

Copyright 2001 - Leffingwell & Associates