Chirality & Odour Perception
John C. Leffingwell, Ph.D.

The 6-Carbomethoxyethyl-6-Methyl-epsilon-caprolactones

You must have Java installed to view the molecular visualization on this page

Photo by permission of M. Roudintska - Art & Parfum

c

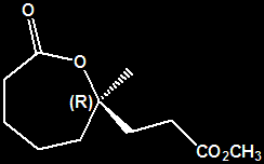
(R)-6-Carbomethoxyethyl-6-Methyl-epsilon-caprolactone - pleasant almond-like aroma, sweet notes

= Methyl 3-[(2R)-2-methyl-7-oxooxepan-2-yl]propanoate

Ref: Sergio Pinheiro, Analucia Sarmento Saraiva and Marcos Peiy Amaral Campos, Asymmetric Synthesis of 6-Carbomethoxyethyl-6-Methyl-epsilon-Caprolactone, J. Braz. Chern. Soc., Vol. 7, No. 5, 353-355, 1996

c

 

(S)-6-Carbomethoxyethyl-6-Methyl-epsilon-caprolactone - low intensity, described as floral, oily notes

= Methyl 3-[(2S)-2-methyl-7-oxooxepan-2-yl]propanoate

Ref: Sergio Pinheiro, Analucia Sarmento Saraiva and Marcos Peiy Amaral Campos, Asymmetric Synthesis of 6-Carbomethoxyethyl-6-Methyl-epsilon-Caprolactone, J. Braz. Chern. Soc., Vol. 7, No. 5, 353-355, 1996

Cyclic Terpenoid Odorants

Bicyclic Terpenoid Odorants

Acyclic Terpenoid Odorants

Ionones, Irones, Damascones & Structurally Related Odorants

Acyclics (Alcohols, Esters, Acids, Aldehydes)

Lactones

Sesquiterpenoid Related Odorants

Steroid Urine Type Odorants

Sandalwood Type Odorants

Musk Odorants

Miscellaneous

HOME

Copyright 2001-2002 - Leffingwell & Associates